シュレディンガー方程式をコンピュータで解く
シュレディンガー方程式をコンピュータで解く


はじめに

電子のシュレディンガー方程式を、コンピュータで解くプログラムを紹介します。
1次元の時間に依存しないシュレディンガー方程式を使って、井戸型ポテンシャルの波動関数とエネルギーを求めます。


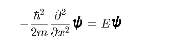
下記のシュレディンガー方程式を使います




コンピュータで解く前の準備として、下図のような井戸型ポテンシャルを解析的に解きます。
ポテンシャルは、-a<x<aでは、V=0
x<=-a かつ a<=x では、V=∞
a は 10nm です。


ポテンシャルが 0 なので、シュレディンガー方程式は下記のようになります。


波動関数を下記のように予想します。


波動関数を2回微分します。


これをシュレディンガー方程式に代入します。


λの値は下記のようになります。


波動方程式の一般解は下記のようになります。


-a と a では波動関数の値は 0 なので下記のようになります。


上式から波動関数とエネルギーを求めると下記のようになります。
(式の変形は、少し複雑なので説明を省略します)


上式から波動関数の形を描き、エネルギーを計算します。
n=1 では E=0.94meV
n=2 では E=3.76meV
n=3 では E=8.46meV
となります。


今度は、コンピュータを使って、波動関数の形とエネルギーを求めます。
ソフトを起動します。


「高さ」「長さ」「傾き」を 0 のままで「ポテンシャルをセット」ボタンを押します。


E(meV)は 0.94、サンプリング幅は 1nm で、「実行」ボタンを押します。
(0.94 は前回シュレディンガー方程式を解析的に解いた n=1 の値と同じです。)


左のリストにはポテンシャルと波動関数の値が表示されます。右には波動関数の形が表示されます。(波動関数は規格化されていません)


次に、サンプリング幅を 0.5nm にします。
下記のように「サンプリング幅」「ポテンシャルをセット」「実行」の順にボタンを押します。


サンプリング幅が 0.5nm の波動関数が表示されます。


次に、サンプリング幅を 0.25nm にします。
下記のように「サンプリング幅」「ポテンシャルをセット」「実行」の順にボタンを押します。


サンプリング幅が 0.25nm の波動関数が表示されます。


「確率」ボタンを押すと、電子の存在確率を示す曲線が表示されます。


E(meV) に 3.76 と書き込み「実行」ボタンを押します。
(3.76 は前回シュレディンガー方程式を解析的に解いた n=2 の値と同じです。)


E(meV) に 8.46 と書き込み「実行」ボタンを押します。
(8.46 は前回シュレディンガー方程式を解析的に解いた n=3 の値と同じです。)


波形が複雑になると、誤差が積み重なってくるため「補正」ボタンを押して、誤差の修正を行います。


「確率」ボタンを押すと、電子の存在確率を示す曲線が表示されます。


サンプリング幅を 0.25nm で、「高さ」50、 「長さ」0.25、「傾き」0 に設定します。
下図のように、この井戸型ポテンシャルは左右対称になっています。
左右の端は V=∞ 中央は V=0 一段上は「高さ」で設定します。
「高さ」50 とは 50meV のことです。
「長さ」0.25 とは、井戸の全長の 25パーセントを意味します。(全長は 20nm です)
左右の端からそれぞれ、25パーセントを1段高くします。
「傾き」0 は外から電場がかかってない状態を示します。


全領域でポテンシャルが 0 のときは E(meV)=0.94 で波動関数の右端は 0 に収束しました。
今回の状態で E(meV)=0.94 にして「実行」ボタンを押すと下記のようになります。


E(meV)の値を予想します。2 にして「実行」ボタンを押すと下記のようになります。


あまり改善されないので 3 にして「実行」ボタンを押すと下記のようになります。


今度は右端が下がりすぎたので 2.5 にして「実行」ボタンを押すと下記のようになります。


数回、微調整を行うと E(meV)=2.727 で右端が0 になります。


「傾き」を 4 にし、「実行」ボタンを押します。
「傾き」が 4 とは、右端が +4meV 左端が -4meV になり、全体のポテンシャルが斜めに傾いた状態になります。
前回と同じ E(meV)=2.727 では右端が 0 にならないので、調整を行います。


E(meV)を 2.7 にすると下記のようになります。


数回、微調整を行うと E(meV)=2.6877 で右端が0 になります。


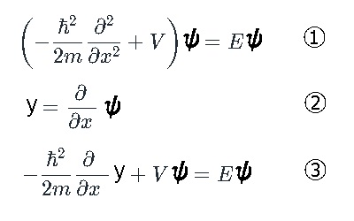
プログラムの仕組み

まず、2次の微分方程式@を2つの1次の微分方程式ABに置き換えます。
1次の微分方程式をコンピュータが処理できるように差分方程式に置き換えます。
2つの差分方程式を繰り返し計算すことで波動関数を求めます。



おわりに

「確率」ボタンを押すと、電子の存在確率曲線が表示されますが、存在確率について解説します。
電子は観測するまでは、波として存在してますが、観測すると、一瞬で粒子に変化することが分かっています。
これを波束の収束と言いますが、この理論を採用すると、物理現象が非常に複雑になります。
なぜなら、未来の現象が過去に影響を与えることが可能になるからです。
この現象を回避するために、多数の並行宇宙の存在を考えます。
そうすると、存在確率とは波束が収束する位置の確率ではなく、観測者の意識がどの並行宇宙を選択するかの確率になります。
では現実はどうなっているのでしょうか。
実は「現実」というものがあるのか無いのかは誰にも分からないのです。
「現実」があったとしても、1つだけなのか、多数あるのか誰にも分かりません。
また「現実」「幻想」「夢」の違いを明確に区別ができる保証もありません。
確実なことは、「自分」には意識があり、世界を体験しているということだけです。
つまり、宇宙が1つ存在するのか、多数の並行宇宙が存在するのかは、考えやすい方を選べばよいだけです。





Vector ソフトライブラリ
シュレディンガー方程式 Ver1.0 をダウンロード


戻る